
An artistic review layout is a sort of composed work that examines distributed data about a particular topic. The length of the review doesn’t make any difference. It tends to be really basic up to a few pages. A layout for literature review can likewise assess these sources and encourage to the perusers with respect to what’s significant relying upon specific conditions.
For what reason Do You Need To Do A Literature Review?
A literature review is finished to assist a creator with clarifying exploration why they have moved toward a point with a particular goal in mind. The review moves toward the substance of their work and answers questions that have started from the literature. It is a decent method to instruct the peruser on a subject and welcome them cutting-edge on the situation with the exploration being referred to.
Create the literature review
The artistic review isn’t any extraordinary in structure from some other sort of scholarly messages as it additionally has the essential parts. What you remembered for each would rely on your goal for composing the literature review:
Presentation
This part ought to unmistakably characterize the reason and focal point of the review.
Exposition: If you composed the review as a piece of a postulation or thesis, you should emphasize the exploration question or focal issue. Give a short outline of the setting too.
Independent: When composing this sort of review, give a short foundation in regards to the subject alongside its importance. Talk about the extension you intend to review alongside your target.
Body
On the off chance that you have a long review, it’s ideal to isolate this part into sub-areas then, at that point concoct a subheading for every one of them.
End
State in the determination, a synopsis of the key discoveries you have gotten from the literature and stress their importance.
Paper: Demonstrate how your exploration can address holes and how it can add to acquiring new information. You can likewise examine how you have utilized existing speculations and strategies to assemble a system for your examination.
Independent: Discuss the general impacts of the literature or make ideas for future examination dependent on those holes you have recognized in your review.
trategies for creating your literature review layout
The vast majority compose literature review formats in technical studies albeit sporadically, some are in the Humanities. In numerous analyses and lab reports, literature reviews establish a segment of the record. On occasion, a few group compose the review as the actual paper. Here are a few methodologies that may demonstrate accommodating when entrusted to compose a literature review:
Discover your core interest
Despite the fact that they can vary, an abstract review resembles a research project as you would sort out both around thoughts, not simply the sources. This implies that composing a review isn’t only about posting your sources and delving into their subtleties each in turn. You likewise need to consider the topics and issues that associate your sources together.
Pass on your message
Artistic reviews might not have the typical theory explanation however you actually need to advise your perusers what’s in store. Composing a straightforward assertion is sufficient to tell your perusers what your primary getting sorted out rule is.
Arrange the data
There are occurrences when you may require extra areas in your review which are important for the investigation yet don’t find a way into the body’s authoritative procedure. This relies upon what segments you need to incorporate. Just put in those that are essential. To take care of you, here are a few segments that you might need to remember for your review:
Current Situation: This alludes to the data that is important to effectively comprehend the concentration or subject of the review.
History: The sequential movement of the field, the literature, or a thought that is important to comprehend the literature review. Incorporate this just if the body isn’t now orchestrated sequentially.
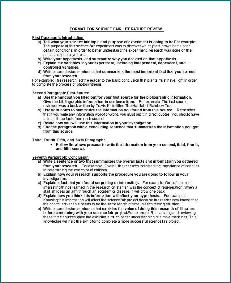
Samples of Literature Review Layout :




Strategies or Standards: What measures did you use to pick the sources in your review or the way in which you need to introduce the data.
Inquiries for Further Research: Are there inquiries regarding your field of exploration the review had started? In view of the review, what steps would you be able to take to propel your exploration?
Literature Review Layout | Word download